|
04.2024 г.
Простая оценка ослабление помехи от ВЧ - составляющей тока КЗ
кабельным экраном
Для законов Кирхгофа пока не требуется внесения в
какие-либо реестры. Желательно, чтобы расчет можно было сделать и на
инженерном калькуляторе, например, таком, какой есть в каждом
смартфоне.
Расчетная схема замещения
Попробуем вывести простые соотношения для ослабления
экраном кондуктивной помехи в кабеле контроля. Такая помеха
возникает, например, от импульсного подъема потенциала заземляющего
устройства (ЗУ).при
протекании ВЧ - составляющей тока КЗ. Чтобы получить что-нибудь
простое, надо знать чем пренебречь.
Спектральный состав ВЧ - составляющей типового ОРУ 220
кВ выглядит примерно так.

Рис.1. Спектральный состав ВЧ - составляющей.
Рассмотрим частотный диапазон не более 1000
кГц. Для кабеля длиной l =
100 м (что соответствует ОРУ) с экраном. На частоте 100 кГц оценка эквивалентных
сопротивлений следующая
|
Активное сопротивление экрана |
2 Ом |
|
Индуктивное сопротивление
экрана |
50 Ом |
|
Емкостное сопротивления
экран-земля |
10 кОм |
Пренебрегаем емкостями между экраном и землей.
Допустим, что прибор-приемник имеет высокоомный вход (500 Ом и
более). тогда можно пренебречь током в жиле.
Как
известно, ток КЗ 50 Гц и его «ВЧ -
составляющая» – это
на самом деле
разные токи. У них разные источники. В месте КЗ они складываются, а затем вновь
растекаются разными путями. Ток КЗ 50 Гц притекает по линиям от удаленного
генератора и возвращается к нему через грунт. Поэтому
сопротивление растеканию ЗУ это активное сопротивление грунта.

Рис.2. Путь протекания тока КЗ 50 Гц
ВЧ-составляющая – это ток разряда емкостей высоковольтных шин и
частей оборудования
относительно его заземленных корпусов. Растекается он только в пределах ОРУ,
причем не по грунту, а по шинам сетки ЗУ.

Рис.3. Пути протекания тока ВЧ-составляющей.
Получится вот такая
схема замещения кабеля с экраном

Рис.4. Простая схема замещения кабеля с экраном.
где Rзу,
Lзу - эквивалентные
активное сопротивление и индуктивность путей растекания тока по
сетке ЗУ. Как их проще посчитать - предложим ниже. Заметим, что
напряжение на приемнике считается не от грунта, а от точки
присоединения к ЗУ, как это и есть на самом деле. ВЧ-импульс
подъема потенциала ЗУ заменяем гармоническим источником напряжения
E.
Если экран не заземлен с
обоих сторон, то в этом диапазоне частот ток по экрану не потечет,
а, как известно, экранированием и ослаблением занимается не железка
сама по себе, а ток, который в ней протекает.
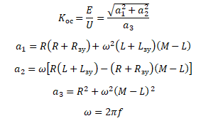
Расчетные формулы
Нас интересует соотношение между
E
и U,
т.е. ослабление
помехи кабельным экраном.
Модуль отношения E к U
(коэффициент ослабления) составит
(1)
f - частота, Гц.
Если пренебречь всеми активными
сопротивлениями, то получим

где, правда, при
M = L появляется сингулярность.
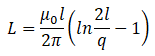
Индуктивность экрана кабеля
L составит [1]:
(2)
где
l -
длина, q -
радиус экрана.
Формулу для взаимной индуктивности
между экраном и жилой не нашел, но можно вывести, используя результаты
того же классического справочника
[1]
(3)

Рис.5. Размеры сечения кабеля.
Величина взаимной индуктивности
M лежит между индуктивностями экрана и жилы,
т.е. M ≥ L. При
d = 0 получим
равенство M = L.
Активное сопротивление
Rзу и индуктивность
Lзу заземляющего
устройства в точке присоединения можно оценить исходя из параметров
стальной шины на выбранной частоте

Рис.6. Параметры 1 м длины стальной шины 4х40 мм в грунте (по
литературным данным).
Для присоединенной регулярной сетки
шин в некоторых случаях можно использовать простые формулы

где Rш,
Lш - параметры отрезка шины между
узлами сетки. Коэффициент k
зависит от места присоединения к сетке

Рис.7. К расчету импульсного
сопротивления сетки ЗУ
Результаты расчета коэффициента
ослабления
Посмотрим, что получается при расчете по формулам
(1) - (3) коэффициента ослабления
Кос
для кабеля
l = 100 м,
,
q = 0.01 м,
p
= 0,001 м, R = 1 Ом, ЗУ -
сетка с ячейкой 10х10 м.
|
Частота, кГц |
1 |
10 |
100 |
1000 |
|
Кос,
при смещении
d = p = 0,001 м |
1,7 |
12,5 |
120 |
121 |
|
Кос,
при смещении
d
= q - p =0,009 м |
1,7 |
5,9 |
6,3 |
6,4 |
Впечатляет влияние смещения жилы
относительно оси экрана. При измерениях в
многопроводном
кабеле для разных жил коэффициент ослабления может отличаться на порядок.
При наибольшем смещении жилы от оси
экрана зависимость коэффициента ослабления от радиуса экрана
выглядит так (f = 100 кГц)
|
Радиус экрана, м |
0,005 |
0,01 |
0,05 |
0,25 |
|
Кос,
|
6,5 |
6,3 |
3,1 |
2,3 |
ВЧ - составляющая. Оценка частоты
и амплитуды. Импульсный подъем потенциала ЗУ
Для оценки помехи от импульсного подъема потенциала
ЗУ нужно знать величину этого подъема, т.е.величину тока ВЧ, а также его
частоту. для оценки импульсного сопротивления ЗУ. В {2}
для ОРУ
рекомендуется использовать следующие данные.
|
Uном, кВ |
110 |
220 |
330 |
500 |
750 |
|
Iвч, кА |
1 |
2 |
6 |
8 |
12 |
|
fосн, МГц |
1 |
0,8 |
0,3 |
0,15 |
0,1 |
Можно поверить, но лучше проверить, поскольку
приведенные частоты вызывают сомнение.. Ток ВЧ имеет
явно колебательный характер, так что можно говорить о токе в
колебательном LC-контуре с эквивалентной
индуктивностью Lэкв, образованной
индуктивностями токоведущих шин и эквивалентной емкостью Cэкв,
образованной емкостями шин и емкостями между высоковольтными частями
эл. аппаратов и их корпусом. Имея два уравнения с двумя неизвестными

находим эти эквивалентные параметры

Расчет по данным из {2}
|
Uном, кВ |
110 |
220 |
330 |
500 |
750 |
|
Сэкв пФ |
1450 |
1810 |
9650 |
1700 |
25460 |
|
Lэкв, мкГн |
18 |
22 |
29 |
663 |
100 |
Индуктивность сборной шины в воздухе ~
1 мкГн/м.
Емкости высоковольтных частей аппаратов относительно заземленного
корпуса
|
Класс напряжения |
110 кВ и менее |
220 кВ |
500 кВ |
|
Конденсатор связи |
6400 пФ |
3200 пФ |
4700 пФ |
|
Силовой трансформатор |
1000 пФ |
2000 пФ |
7000 пФ |
|
Выключатель |
200 пФ |
300 пФ |
400 пФ |
|
Трансформатор напряжения |
200 пФ |
300 пФ |
2200 пФ |
|
Трансформатор тока |
300 пФ |
500 пФ |
600 пФ |
|
Реактор |
4000 пФ |
Можно найти и другие цифры, но не сильно
отличные. Эквивалентные емкости
получаются меньше
емкости аппаратов даже в одной ячейке. Для напряжений 110 и
220 кВ эквивалентная индуктивность соответствует индуктивности
шины длиной ~20 м, что тоже реальному ОРУ не
соответствует.
Желательно иметь оценки для конкретного ОРУ с учетом как
класса по напряжению, так и конфигурации. Принимаем, что источник ВЧ -составляющей это разряд
LC-линии
( у нас - одна из фаз сборных шин) через ЗУ в месте КЗ. Определим частоту исходя из времени
пробега волны тока по отрезку линии длиной
l
(для сборной шины только одной фазы).

Рис.8. К расчету частоты
ВЧ - составляющей
Частота тока составит

где Vф
- фазовая
скорость перемещения волны. В воздушной линии это 3∙108 м/с,
а индуктивность и емкость воздушной линии с радиусом провода
r на высоте h
на 1 м длины
составляют

К сборным шинам присоединены ячейки ОРУ с
электрическими аппаратами,
увеличивающие емкость шин относительно земли, так что фазовая
скорость будет меньше.
Расчетные параметры линии L0
и C0 на 1 м длины:

где Cапп -
суммарная емкость аппаратов, присоединенных к отрезку сборной шины длиной
l.
Фазовая скорость Vф,
частота тока f, волновое
сопротивление линии Z0
и амплитуда тока I0
составят

где за напряжение U0
можно принять номинальное напряжение подстанции, которое не намного
отличается от амплитуды фазного напряжения. Далее, в соответствие с найденной частотой
определяем параметры шин ЗУ (рис.6), импульсное сопротивление ЗУ
(рис.7) и импульсный подъем потенциала.
Пример расчета параметров
типовых ОРУ 110 кВ (9 ячеек), 220 кВ (8 ячеек), 330 кВ (6 ячеек) и
500 кВ (11 ячеек) с одним силовым трансформатором
|
U0,
кВ |
110 |
220 |
330 |
500 |
|
Распределенная емкость сборной шины
C0
, пФ/м |
550 |
480 |
800 |
550 |
|
Протяженность
сборной шины
l
(ширина
ячейки х число ячеек) |
9м х 9= 81м |
15,4м х 8= 123,2м |
24м х 6 = 144м |
31м х 11 = 341м |
|
Фазовая скорость
Vф,
м/с |
4,2·107 |
4,5·107 |
3,5·107 |
4,2·107 |
|
Частота
f
, кГц |
131 |
91 |
61 |
31 |
|
Волновое сопротивление
Z0,
Ом |
42 |
45 |
35 |
42 |
|
Ток ВЧ
I0,
кА |
2,4 |
4,9 |
9,4 |
11,9 |
|
Импульсное сопротивление ЗУ (сетка
10х10 м), Ом |
5 |
4 |
2 |
1 |
|
Подъем потенциала ЗУ, кВ |
12 |
19 |
19 |
12 |
Получили величину частоты в 5 -
10 раз меньше, чем по рекомендации [2].
Ну а если часть ячеек от сборных шин отключена?
Посчитаем для типового ОРУ 220 кВ.
|
ОРУ 220 кВ число
подключенных ячеек |
8 |
6 |
4 |
2 |
|
Распределенная
емкость сборной шины
C0
, пФ/м |
480 |
379 |
258 |
137 |
|
Фазовая скорость
Vф,
м/с |
4,5·107 |
5,1·107 |
6,2·107 |
8,5·107 |
|
Частота
f
, кГц |
91 |
100 |
126 |
173 |
|
Волновое
сопротивление
Z0,
Ом |
45 |
51 |
62 |
85 |
|
Ток ВЧ
I0,
кА |
4,9 |
4,3 |
3,5 |
2,6 |
|
Импульсное
сопротивление ЗУ (сетка 10х10 м), Ом |
4
|
4
,2 |
4,9 |
6,1 |
|
Подъем потенциала
ЗУ, кВ |
19 |
18 |
17 |
16 |
Частота остается в несколько раз ниже, чем в
[2].
Спасибо за прочтение.
[1] Калантаров П.Л., Цейтлин
Л.А. Расчет индуктивностей. Справочная книга. Ленинград,
Энергоатомиздат. 1986 - 488 с.
{2}
СТО 56947007-29.240.044-2010
Методические указания по обеспечению электромагнитной
совместимости на объектах электросетевого хозяйства.. |